菩萨重家声,罗绮传记显
—— 寻根之路(1)
【洋头罗含书院(筹)2022.4.13,福州讯(罗训森)】 1997年夏天,在今福建省历史文化名村——福州市闽清县下祝乡洋头村81号,发现数张清代捷报遗迹。笔者是福州大学毕业,纯粹“理工男”,当时,对文史毫无研究,故求教于卢美松(编审,时任福建省地方志编纂委员会副主任兼省地方志研究所所长)、曾意丹(时任福州市文化局长,《福州古厝》编著)、郑国珍(研究员,时任省文物局副局长,其年轻时曾普查过罗绮墓及洋头村81号罗宪灿岩轩厝)及福建师大历史学院专家学者。
1997年,洋头罗氏正在修族谱,其中有罗绮的传记,笔者深知族谱虽是史料,但并不能确证罗绮的历史功绩,故在1997.11.1,“福建闽清下祝洋头罗氏文化研讨会”结束后,带着族谱版“罗绮传”,赴京查找罗绮等洋头罗氏历史人物的史料。
1997.11.1,原洋头小学教室
1997.11.18,在首都图书馆古籍部的协助下,发现了《太湖县志》中罗綺的传记。并荣幸获得首都图书馆古籍部赠送的对联书法。
庆罗绮传记显:
首座太湖知县事,福建洋头罗;
图励精治无夜金,案有春秋笔。
岁在丁丑冬,书于京华国子监
恭 贺
福建闽清洋头罗氏第十九代孙训森先生:
您在我馆古籍部的协助下,发现贵第八世祖讳守(首)章公,官章罗綺的传记。
特此恭贺,以表敬意。
首都图书馆古籍部
一九九七年十一月十八日
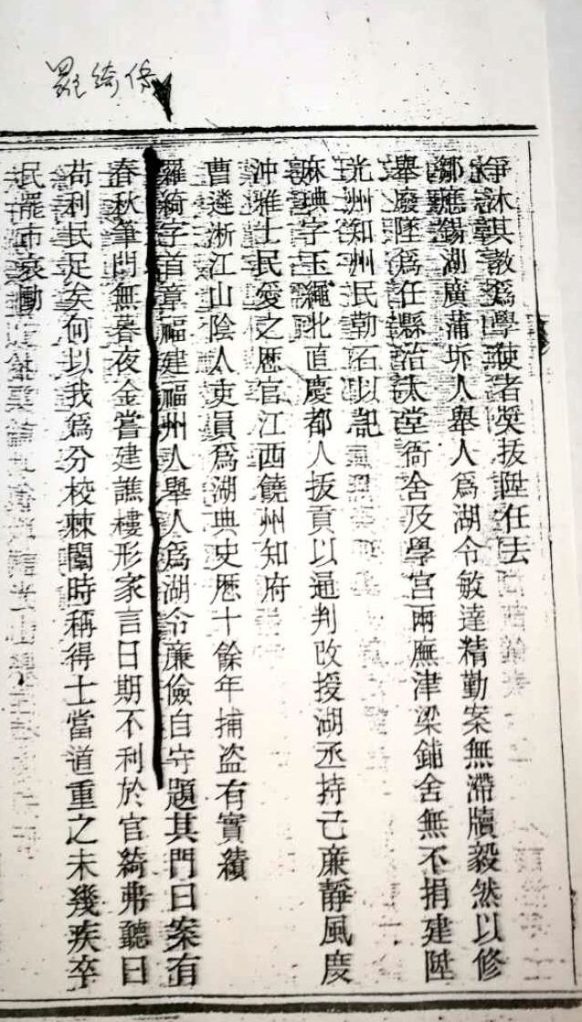
《太湖县志》版罗绮传记(首图古籍部藏书)
罗含有后重家声(明状元、候选从祀孔庙罗洪先诗句),罗绮是元未江西吉水人罗应祥之八代孙,乃晋之罗含,唐之罗隐、宋之罗从彦,明之罗复仁之后,庐陵罗绋、罗大经、罗有礼、罗椅、罗汝敬、罗伦、罗钦顺、罗洪先、罗大纮、罗侨、罗通等的族人也。
案有春秋笔,门无暮夜金。
1997.11.18,自首图古籍部始,中华优秀传统文化组成部分、罗绮廉政文化开始重新研究、传播。
先后研究、传播罗绮廉政文化的单位和个人:
1. 首都图书馆古籍部,对联书法;
2. 时任安徽太湖县民宗局长郝培根,罗綺《告城隍文》书法;
3. 时任福建省姓氏源流研究会副秘书长罗训森《罗綺生平思想研究》(已刊载在2007.5版《中华罗氏通谱》);
4. 广东惠州知名书法家、中书协会员罗真理,罗绮对联书法;
5. 安徽太湖县纪检委网曹杰友《廉俭自守春秋笔 ,万庶齐呼“罗菩萨”——康熙初年太湖知县罗绮之美谈》;
6. 安徽涡阳县纪捡委网“每日一廉”(含“案有春秋笔,门无暮夜金”典故);
7. 福建福州闽清下祝洋头村81号,印刷体罗绮对联、不锈钢基板;
8. 福建福州闽清下祝洋头村80号,毛体罗绮对联、不腐木基板;
9. 福建福州闽清下祝洋头村办公楼,毛体罗绮对联、纸质对联;
10. 福建闽清闽江书画院副院长兼秘书长、省书协会员罗晖,罗绮对联;
11. 福建沙县政协常委、文联主席、中书协会员罗辉,罗绮对联;
12. 南京大学金陵学院教授、著名书画家罗建泉,罗绮对联;
13. 湖南衡东怀素书画院院长、湖南省书协会员罗伟雄,罗绮对联。
注:罗训森,高级工程师,中华罗氏通谱编纂委员会总编、福建省敦睦姓氏谱牒研究院院长。罗应祥第十九代孙,罗绮第十一代孙,罗宪灿第七代孙。
附:“罗菩萨”罗绮史料
各版本传记
罗绮,举人,知太湖,民呼为“罗菩萨”,祠祀之。
——《福建通志》卷一六二
罗绮,顺治戊子(1648)举人,任太湖知县,赋性慈祥,通县称为“罗菩萨”。建祠以颂其德。
——清乾隆版《闽清县志》,福建省图书馆特藏部存书
罗绮,字首章,福建福州人,举人。莅湖以廉俭自守。题其门曰:案有春秋笔,门无暮夜金。尝建谯楼,形家言曰:“期不利于官”。绮弗听。曰:“苟利于民足矣,当道咸器重之”。未几,卒于官。
——《安庆府志》卷十二
罗绮,字首章,福建福州人,举人。为湖令,廉俭自守。题其门曰:案有春秋笔,门无暮夜金。尝建谯楼,形家言曰:“期不利于官”。绮弗听。曰:“苟利于民足矣。何以我为?分校棘闱,时称得士,当道重之。”未几,疾卒。民罢市哀恸。
——《太湖县志》
注:分校棘闱为主考官,古时于考场外,用荆棘围起来,阻止闲人靠近,严肃考场纪律。
《洋头罗氏族谱》版罗绮传记
讳绮,字首章。公系万历四十五年丁巳岁(1617)生,三十三岁中举人。公在太湖,德化开先,惠泽及民,里人感德立祠,是邑春秋祭祀,名之曰:罗菩萨,享祀不绝。出世之时,背上有八字云:生在建阳,卒于太湖。元配洋尾黄庆所女,名粟金,次娶郑鼎官二淑人。生四子,女二,长俊金适福州城里田祯,次名娇官,适福州城里陈邦瑚。葬前洋过洋尾。
告城隍文
清·罗绮
窃惟天之生民,有吏以听之于阳,有神以礼之于阴。然神之所知,吏容有不知;吏之所知,神无有不知。绮奉天符命,来尹此邦。但以赋怀耿烈,才知多疏,鄙有心弥缝无术,恐开罪地方,有负民牧。请自今以往神氐,凭其有讼不能平,狱不能理,刑罚不能清,赏赐不能当,贤良不能举,奸宄不能戡,神则谴之。其有雨阳不能时,灾祲不能绝,邪魅不能消,盗贼不能息,功令不能施,神则阴护之,翦灭之,以佐余之不逮。
[安徽省太湖县民政宗教局长郝培根供稿(手笔录)1997.11.27下午于太湖县政府内]
注:罗绮时新任江南省(江苏、安徽)太湖知县。清代规定,新上任知县需在城隍庙中斋宿三日。此文为历任知县所撰文彩最好的《告城隍文》,故获留存。
罗绮订立的《洋头罗氏字辈诗》
名序
一国兴嘉士,五云兆世祯;
光宗延泽永,昌嗣善祗承。
字序
首君思作宪,实裕乃长华;
立训惟务本,仁厚可传家。
阅读全文: http://www.hualuoshi.com/?p=19928
供稿、录入:罗训森 2022.4.13 于福州



罗绮传记,菩萨家声。
——罗胜前
胜前兄:
好联!从对联对仗格式说,应:菩萨家声重,罗绮传记显。但意思不同了。主要要呼应首图“罗绮传汜显”和罗洪先的诗句“罗含有后重家声”。
——训森